Das Oktogramm – der Achtstern

Das Oktogramm ist ein achtzackiger Stern, dessen Eckpunkte die Eckpunkte eines regulären Achtecks sind. Es besitzt 8 Symmetrieachsen. Es gibt zwei unterschiedliche Formen:
{8/3}-Oktogramm und {8/2}-Oktogramm.

{8/3}-Oktogramm

{8/3}-Oktogramm    {8/3}-Oktogramm-sym

Berechnung von b und R in Abhängigkeit von der Seitenlänge a des regulären Achtecks:

b² + b² = a² (Pythagoras)

b = 2/2 a

Der Umfang u des {8/3}-Oktogramms beträgt u = 16 b = 82 a

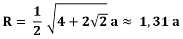
sin(22,5°) = a/2 / R  (Sinussatz)

R = a / (2 sin(22,5°)

R

Flächeninhalt A des {8/3}-Oktogramms ist gleich dem Flächeninhalt des regulären Achtecks mit Seitenlänge a minus 4 Quadrate der Seitenlänge b.

Flächeninhalt A8 des regulären Achtecks mit Seitenlänge a:
A8 = 8
·1/2·a h         NR: h² = R² – (a  /2)² (Pythagoras)
                                       h² = 1/4 ( 4 + 2
2) a² – 1/4 a² = 1/4 (3 + 22) a²

A8 = 2 (3 + 22) a² = (2 + 22) a²             Begr.: 4 (3 + 22) = (2 + 22)²

                                                                                 12 + 82 = 4 + 82 + 8

A = (2 + 22) a² – 4 ·1/2 a² =  22 a²

Flächeninhalt A des {8/3}-Oktogramms beträgt A = 22 a² 2,83 a²

{8/2}-Oktogramm

{8/2}-Oktogramm

cos(22,5°) = a/2 / b

b = a /(2 cos(22,5°)

b = 1/2 (4 22) a

Der Umfang u des {8/2}-Oktogramms beträgt u = 16 b:

u

Flächeninhalt A des {8/2}-Oktogramms ist gleich dem Flächeninhalt des regulären Achtecks A8 mit Seitenlänge a minus 8 Dreiecksflächen A mit der Seitenlänge a und der Höhe h.

A = 1/2·a·h                      NR: h² + (a/2)² = b²

                                                   h² =  1/4 (4 – 22) a² – 1/4 a² = 1/4 (3 – 22)

                                                   h = 1/2 (3 – 22)

 A = 1/4 (3 – 22) a² = 1/4 (2 – 1) a²

Flächeninhalt A des {8/2}-Oktogramms: 

A =  A8 – 8 A = (2 + 22) a² – 2 (2 – 1) a²

A = 4



Zurück

Zurück zur Themenseite
Zurück zur Startseite