Kreisketten

Kreiskette im Dreieck

a) Kreiskette im gleichseitigen Dreieck

Einem gleichseitigen Dreieck der Seitenlänge 1 werden Kreise folgendermaßen einbeschrieben:

                      

Berechnung der Summe der Flächeninhalte aller einbeschriebenen Kreise.

Die einzelnen Kreise entstehen jeweils durch zentrische Streckung mit dem Zentrum C und dem Streckungsfaktor 1/3 aus dem unteren Kreis mit dem Radius     (Höhe im gleichseitigen Dreieck)

   

Begründung:

Im gleichseitigen Dreieck ist der Höhenschnittpunkt gleich dem Schnittpunkt der Seitenhalbierenden gleich dem Schnittpunkt der Winkelhalbierenden (Inkreismittelpunkt); der Schnittpunkt der Seitenhalbierenden teilt diese im Verhältnis 2 : 1;
Berechnung von h mit Satz des Pythagoras.

  

  

Die Radien der Kreise sind  .

Die Summe aller Kreisflächeninhalte ergibt dann folgende unendliche Reihe:

NR:  Geometrische Reihe:

b) Kreiskette im gleichschenkligen Dreieck

kreiskette-glsch3eck

 

h = |MC| = ½⸱tan(α)

r1 = ½٠tan(α/2),  r2 = x

r1 : x = (h – r1) : (h – 2 r1 – x) (Strahlensatz)

Nach Vereinfachung mit CAS folgt:

x = sin(α)(1 – cos(α)) / (2(cos(α))2 + 2cos(α) + 1)

Für das Verhältnis v = r2 / r1 ergibt sich:

v = (sin(α))2 / (1 + cos(α))2 = (tan(α/2))2

Für das Verhältnis der Kreisflächen A2 und A1 ergibt sich dann:

A2 / A1 = (tan(α/2))4

Entsprechend gilt:  A2 / A1 = A3 / A2 = A4 / A3 = …

Daraus folgt für die Summe A aller Kreisflächen mit A1 = (½ tan(α/2))2 π:

A = (1/2٠tan(α/2))2 π (1 + (tan(α/2))4 + (tan(α/2))8 + (tan(α/2))12 + … )

Für α = 60° ergibt sich:  A = π/12 ٠ 9/8 = 3π/32 ≈ 0,2945 (siehe 1a)

Das sind ungefähr 68,0% der Dreiecksfläche.

Für α = 70° ergibt sich:  A ≈ 0,3851 ٠ 1,3165 ≈ 0,5069

Das sind ungefähr 73,8% der Dreiecksfläche.

Für α = 76,345° ergibt sich:  A ≈ 0,4854 ٠ 1,6180 ≈ 0,7854

Das sind ungefähr 76,9% der Dreiecksfläche.
Die einzelnen Kreise stehen hier in sehr guter Näherung im Verhältnis der goldenen Schnittzahl σ ≈ 0,618, wobei die gesamte Kreisfläche das τ-fache (τ ≈ 1,618) der Kreisfläche
A1 ≈ 0,4854 ist (siehe 2).

Kreisfl-anteil-max

 

Für α → 90° nähert sich der Flächenanteil der Kreisflächen im Vergleich zur Dreiecksfläche dem Wert π/4 ≈ 78,54%.

Begründung:

Für α = 90° werden aus den gleichlangen Schenkeln des Dreiecks zwei parallele Halbgeraden, wie in nebenstehender Figur dargestellt.

Der Kreisflächenanteil ist bei einem Kreis mit umschriebenem Quadrat π/4.
Der Kreisflächenanteil bei n Kreisen mit umschriebenem Rechteck liefert den gleichen Wert: n٠π/4 / (1٠n) = π/4.

 

 

 

   

  

Kreisketten im regulären n-Eck

8eck-Kreisketten    n-Eck-Kreisketten-Sektor

n-Eck-Sektor:

Summe der Kreisflächeninhalte (s. oben)

A = (1/2٠tan(α/2))2 π (1 + (tan(α/2))4 + (tan(α/2))8 + (tan(α/2))12 + … ) 

Dreiecksflächeninhalt D des Dreiecks ABC
D = ½
٠1٠h = ½ ٠½٠tan(α) = 1/4 tan(α)

Flächenverhältnis A/D

A/D = (tan(α/2))2 π (1 + (tan(α/2))4 + (tan(α/2))+ (tan(α/2))12 + … )  / tan(α)
mit α = 90°
360°/2n  = π/2 π/n  (180° = π)  

Tabelle der Flächenverhältnisse A/D in Abhängigkeit von n

Tabelle n-eck-Kreissektor

Limes

Wenn n gegen Unendlich geht, geht das Flächenverhältnis A/D gegen 78,5%.

Dieselben Flächenverhältnisse gelten für das reguläre n-Eck, das aus n n-Eck-Sektoren besteht.

Das Flächenverhältnis ist von der Seitenlänge a des n-Ecks unabhängig.

  

Kreisketten im Kreis

Kreisketten-Kreis  Kreis-Kreisreihen

Kreissektor 360°/n:

Summe A der Kreisflächeninhalte (s. oben)

A = (1/2٠tan(α/2))2 π (1 + (tan(α/2))4 + (tan(α/2))8 + (tan(α/2))12 + … ) 

Kreisflächenflächeninhalt K

K = R2 π

R / 0,5 = tan(α)

K = (1/2٠tan(α))2 π

Flächenverhältnis nA/K:

nA/K =  n (tan(α/2))2  (1 + (tan(α/2))4 + (tan(α/2))+ (tan(α/2))12 + … )  / (( tan(α))2 π) mit α = 90° 360°/2n  = π/2 π/n  (180° = π)

Tabelle der Flächenverhältnisse nA/K

Tabelle Kreis-Kreiskette

Limes-2

Wie beim n-Eck geht für n gegen Unendlich das Flächenverhältnis nA/K gegen 78,5%.

Das Flächenverhältnis ist vom Radius R unabhängig.

 

Kreise in quadratischer Anordnung im Kreis und im Quadrat

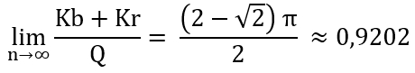
Die Flächeninhalte der n² blauen Kreise sei Kb, der (n–1)² roten Kreise Kr, des Umfangskreises Ku, des Quadrats Q. 

2-Kreis-Kreise-9bl

 

  

  

Für das Verhältnis der Flächeninhalte der blauen und roten Kreise zusammen zum Umkreis gilt für n gegen Unendlich:

limes kb+kr - ku

Begründung

  

  

2.kreis-quadrat-9

 

  

  

  

Für das Verhältnis der Flächeninhalte der blauen und roten Kreise zusammen zum Quadrat gilt für n gegen Unendlich:

limes kb+kr - q

Begründung

 

 

 

Kreiskette im goldenen Schnitt

Beim goldenen Schnitt gelten folgende Bezeichnungen und Beziehungen:

m = minor, M = Major

 

   

d1 = 1,  d2 = σ,  d3 = σ٠σ = σ2, . . .

Für die geometrische Reihe mit σ < 1 gilt:²

1 + σ + σ2 + σ3 + . . .   =  1 / (1 σ)

|AB| = 1 / (1 – σ)  = 2 + σ    2,618

   

 

Für den Flächeninhalt der Kreiskette mit Radius r1 = 1 gilt:

12π + σ2π + σ4π + σ6π + …  = π (1 + σ² + (σ²)2 + (σ²)3 + …)  = π τ

NR:  Formel für geometrische Reihe anwenden   1 + σ²  + (σ²)2 + (σ²)3 + …  =

Folgerung: Der Flächeninhalt der Kreiskette ist das τ-fache des Flächeninhalts des Ausgangskreises.

   

Pappos-Ketten

Pappos-Kette im Arbelos

Ellipse mit Brennpunkten M und E durch die Mittelpunkte der Pappos-Kreise

   

Radius r um M:  r = a + b,  |FM| = d, |CF| = b – d

I    (a+b-x)² = d² + h²              (Pythagoras im ΔFMC1)

II   (a + x)² = (b – d)² + h²      (Pythagoras im ΔCFC1)

III  (b + x)² = (a + d)² + h²      (Pythagoras im ΔFEC1)

II – I = IV   2 x (2 a + b) – 2 a b – b²  = b²  - 2 b d 

II – II = V   x (2 b – 2 a) – a² + b² = a² – b² + 2 (a + b) d

IV٠(a + b) + V٠b  liefert

4 x (a² + a b + b²) – 3 a b (a + b) = a b (a + b)

Allgemein gilt für den Radius rn des n-ten Kreises mit Mittelpunkt Cn:           (Quelle)

Flächeninhalt der Pappos-Kette

Für  a = 1 und b = 2  ergibt sich als Flächeninhalt:

Der Umfangshalbkreis hat den Flächeninhalt  ½ (a+b)² π  ≈  14,1372

Der Flächenanteil der Pappos-Kette beträgt  4,4731 / 14,1372٠100%   31,64 %


Pappos-Kette im Kreis

 

  

 

Für b = 2 und a = 1 ergibt sich als Flächeninhalt:

2٠4,4731 + 1²π    12,0878

Der Umfangskreis hat den Flächeninhalt 28,2743

Der Flächenanteil der Pappos-Kette beträgt  42,75%

 

 

 

 

Konstruktion der Pappos-Kette mit Hilfe der Inversion am Kreis

Pappos-Kreise-Konstr

 

 

  

 

Senkrecht übereinander liegende, sich berührende kongruente Kreise werden an dem Inversionkreis Ik mit Mittelpunkt B gespiegelt, wobei gilt mit R = |AB|:

|BP‘| = R² / |BP|
z.B. |BH‘| = R² / |BH|

Der Spiegelpunkt H‘ liegt:
1. Auf der Winkelhalbierenden [HB der beiden Tangenten von H an den Inversionskreis, Berührpunkte durch Thaleskreis über [HB]
2. Auf der Verbindungsstrecke der beiden Berührpunkte der Tangenten mit dem Inversionskreis

 

  

  

  

 

  

Ford-Kreise

Die Ford-Kreise sind nach dem amerikanischen Mathematiker Lester Randolph Ford senior (1886 – 1967) benannt.

a) Einfache Ford-Kreise

Gegeben seien 2 sich berührende Kreise mit dem Radius 1 und eine Gerade g (Tangente), die die beiden Kreise berührt. Die Kreise, die die Ausgangskreise, die Gerade und die angrenzenden Kreise berühren, sind die einfachen Ford-Kreise.

ford-kreise-0

Diese Ford-Kreise mit den Radien r und den Krümmungen κ = 1/r haben besondere Eigenschaften:

Die Krümmungen nehmen quadratisch zu, wobei die Radien quadratisch abnehmen.

Ordnet man der senkrechten Projektion von M1 auf die Gerade g als Zahlenstrahl die Zahl 0 und von M2 auf die Gerade g die Zahl 1 zu, so bilden die senkrechten Projektionen der Mittelpunkte der Ford-Kreise auf die Gerade g (Berührpunkte) die wie folgt dargestellten Brüche auf dem Zahlenstrahl:

ford-kreise-einfach

Auf der linken Seite entspricht der Wurzel aus dem Radius der zugehörige Bruch. Auf der rechten Seite sind es die entsprechend spiegelbildlichen Brüche.

Flächeninhalt der einfachen Ford-Kreise:

                                                   ford-einfach-flaeche

Das ist ungefähr 10,2% der Fläche des Ausgangskreises.

b) Komplexere Ford-Kreise

Es kommen noch zusätzliche sich berührende Kreise hinzu, die auch die einfachen Ford-Kreise und die Gerade berühren.

ford-kreise-kopl

Die den Ford-Kreisen zugeordneten Brüche stellen sog. Farey-Folgen dar.

Farey-Folgen                                   zugeordnete Farbkreise

farey-folge A – B

 A – grün – B

 A – blau – grün – blau – B

 A – rosa – blau – grün – blau – rosa – B

 A – braun – rosa – blau – braun – grün – braun – blau – rosa – braun – B

Bemerkung:

Eine Farey-Folge ist eine geordnete Menge von vollständig gekürzten Brüchen zwischen 0 und 1, deren jeweiliger Nenner größer oder gleich dem Zähler ist.
(John Farey, englischer Geologe, 1766 – 1826)

 


Zurück
Zurück zur Startseite