Das Quadrat

 
Quadrat mit der Seitenlänge a

Flächeninhalt  A = a2

Umfang u = 4 a

Inkreisradius  ri =  a

Umkreisradius  ru =  a

Innenwinkel  α = β = 𝛾 = δ = 90°

Diagonallänge  d =   (Pythagoras im Dreieck ABC:  d² = a² + a²)

 

 

    

 

Das Quadrat hat 4 Symmetrieachsen.

 

 
 

Das Quadrat hat unter den Rechtecken mit gleichem Umfang den größten Flächeninhalt:

   

  Umfang des Quadrats uQ = 4a

  Umfang des Rechtecks uR = 2(a+x) + 2(a–x) = 4a

  Flächeninhalt des Quadrats AQ = a²

  Flächeninhalt des Rechtecks AR = (a+x)(a–x) = a² – x²

  Daraus folgt:  AQ  >  AR  für x > 0

   

  

Der Pythagoras

 

 

 

        a² + b² = c²

 

  

    

  

Die Quadratur des Rechtecks mit Hilfe des Höhensatzes

Die eine Seite des Rechtecks sei der Hypotenusenabschnitt p und die andere Seite der Hypotenusenabschnitt q eines rechtwinkligen Dreiecks.
Dann dreht man die Seite q des Rechtecks um 90° und erhält so die Basis [AB] eines rechtwinkligen Dreiecks.
Die Verlängerung der Rechteckseite q schneidet den Thaleskreis mit Mittelpunkt M über der Basis [AB] im Punkt C und liefert die Höhe des rechtwinkligen Dreiecks ABC.
Das Quadrat mit der Seitenlänge h hat genau denselben Flächeninhalt wie das gegebene Rechteck.

 

   

Die Quadratur des Kreises

Ein Quadrat mit dem gleichen Flächeninhalt eines Kreises kann nicht konstruiert werden, da die Wurzel aus π nicht konstruierbar ist.  
(Beweis durch Ferdinand von Lindemann 1882)

 

Flächeninhalt des Kreises:   r2π

Flächeninhalt des Quadrats: r2π

 

 

 

  

  

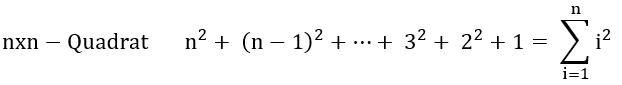
Quadratzahlen

Wenn die Seitenlänge eines Quadrats n-fach so groß wird, wird die Fläche des Quadrats n²-fach so groß.

Entsprechend gehören zu den natürlichen Zahlen 1, 2, 3, 4, 5, …, n  die Quadratzahlen 1, 4, 9, 16, 25, …, n².

  

Anzahl der Quadrate eines Quadratgitters

a) Anzahl der Quadrate längs der Gitterlinen

 quadrat 1x1  2x2-quadrat  3x3-quadrat  4x4-quadrat  5x5-quadrat

Quadrat-Typ       Anzahl der Quadrate

1x1 Quadrat         1      

2x2 Quadrat         4 + 1 = 5      

3x3 Quadrat         9 + 4 (2x2-Quadrate) + 1 = 14

4x4 Quadrat        16 + 9 (2x2-Quadrate) + 4 (3x3-Quadrate) + 1 = 30

5x5 Quadrat        25 + 16 (2x2-Quadrate) + 9 (3x3-Quadrate) + 4 (4x4-Quadrate) + 1 = 55

. . .

quadr-summe

Für n = 2, 3, …, 11 erhält man als Anzahl von Quadraten:  1, 5, 14, 30, 55, 91, 140, 204, 285, 385

b) Anzahl der Quadrate längs der Diagonalen zu den Gitterlinien

sf-quadr-2x2 sf-quadr-3x3 sf-quadr-4x4 sf-quadr-5x5 sf-quadr-6x6

Quadrat-Typ       Anzahl zusätzlicher schiefer Quadrate

2x2 – Quadrat         1       

3x3 – Quadrat         4 (dxd-Quadrate)

4x4 – Quadrat         9 (dxd-Quadrate) + 1 (2dx2d-Quadrat) = 10

5x5 – Quadrat        16 (dxd-Quadrate) + 4 (2dx2d-Quadrate) = 20

6x6 – Quadrat        25 (dxd-Quadrate) + 9 (2dx2d-Quadrate) + 1 ((3dx3d-Quadrat) = 35

. . .

quadr-summe-2

Für n = 1, 2, 3, …, 10 erhält man als Anzahl von Quadraten:  1, 4, 10, 20, 35, 56, 84, 120, 165, 220

c) Anzahl aller Quadrate in einem Quadratgitter n*n:  Lösung

  

Magische Quadrate

Ein natürliches (normales) magisches Quadrat der Ordnung (Kantenlänge) n ist eine quadratische Anordnung der Zahlen 1, 2, 3, ..., n2, wobei die Summen jeder Zeile, jeder Spalte und jeder der beiden Diagonalen den gleichen Wert besitzen. 

Mag_Quadrat 3x3 

  Magisches 3x3-Quadrat

  

  
 

Lateinische Quadrate

Ein lateinisches Quadrat ist ein quadratisches Schema mit n Reihen und n Spalten, wobei jedes Feld mit einem von n verschiedenen Symbolen belegt ist, so dass jedes Symbol in jeder Zeile und in jeder Spalte jeweils genau einmal auftritt. Die natürliche Zahl n wird Ordnung des lateinischen Quadrats genannt.

Die 12 lateinische Quadrate der Ordnung 3, mit Farben und mit Zahlen:


 

 

Durch Spiegelungen, Drehungen um 90° und zyklische Spaltenvertauschungen können aus einem lateinischen Quadrat der Ordnung 3 alle anderen erzeugt werden.

      

Anzahl der verschiedenen lateinische Quadrate der Ordnung n = 1, 2, 3, 4, 5, 6, 7, … : 
1, 2, 12, 576, 161280, 812851200, 61479419904000, ….   Quelle

3-Quadrat:  3!٠2!  =  12

4-Quadrat:  4!٠3!٠  =  576

5-Quadrat:  5!٠4!٠23٠7  =  161280

6-Quadrat:  6!٠5!٠26·3·72  =  812851200

7-Quadrat:  7!٠6!٠210·3·5·1103  =  61479419904000

Es ist kein Bildungsgesetz für die Zahlenfolge bekannt.

Ein lateinisches Quadrat der Ordnung 9 mit der Zusatzbedingung, dass in der Aufteilung in 9  3×3-Quadrate in jedem dieser Quadrate alle Ziffern von 1 bis 9 jeweils genau einmal auftreten, führt zu dem Zahlenrätsel Sudoku.

 

Griechisch-lateinische Quadrate

Ein griechisch-lateinisches Quadrat (GLQ) oder Eulersches Quadrat der Größe n ist ein quadratisches Schema mit n Zeilen und n Spalten, bei dem in jedem der der n⸱n Felder ein Zeichen aus einer Menge L und eines aus einer anderen Menge G eingetragen ist. Dabei muss in jeder Zeile und auch in jeder Spalte jedes Element aus L und ebenso jedes Element aus G genau einmal stehen und jedes lateinisch-griechische Paar darf nur einmal vorkommen.

Der Mathematiker Leonhard Euler nannte diese Felder griechisch-lateinische Quadrate, da er Buchstaben aus dem griechischen und lateinischen Alphabet für die Werte verwendete.

Es wird auch als orthogonales lateinisches Quadrat bezeichnet.

Beispiele:

GLQ-3x3

 

GLQ 3x3

L = {A, B, C}, G = {α, β, γ}

 

 

 

GLQ-4x4

 

GLQ 4x4

L = {A, B, C, D}, G = {a, b, c, d}

  

 

 

GLQ-5x5

 

GLQ 5x5

L = {L-rot, L-gelb, L-orange, L-grün, L-blau}

G = {G-rot, G-gelb, G-orange, G-grün, G-blau}

 

 

 

Die Parkettierung der Ebene nur mit gleich großen Quadraten

      

Quadrate in archimedischen Parkettierungen

 

Die Quadratur von Quadraten

Unter der Quadratur von Quadraten versteht man eine Parkettierung eines gegebenen Quadrats mit kleineren Quadraten, deren Seitenlängen ganzzahlige Werte haben.
Als Ordnung der Parkettierung bezeichnet man die Zahl der Teilquadrate.

Eine perfekte Quadratur von Quadraten ist eine Quadrat-Parkettierung, die keine kongruenten Teilquadrate enthält.

Kleinstmögliche perfekte Quadratur der Ordnung 21;
das vorgegebene Quadrat hat die Seitenlänge 112.

A. J. W. Duijvestijn fand 1978 mit Computerhilfe die perfekte Quadratur der Ordnung 21 und bewies, dass dies die geringstmögliche Ordnung und zugleich die einzige dieser Ordnung ist.

 

Eine unperfekte Quadratur von Quadraten ist eine Quadrat-Parkettierung, die mehrere kongruente Teilquadrate enthält.

Kleinstmögliche unperfekte Quadratur der Ordnung 13 mit höchstens zwei kongruenten Teilquadraten;
das vorgegebene Quadrat hat die Seitenlänge 23.

   Quelle

Unperfekte Quadratur der Ordnungen 9 und 10 mit höchstens drei kongruenten Teilquadraten.

    

 

Optische Täuschung mit Quadraten

Café Wall Illusion                 Café Wall Illusion-ani

Die grauen Linien sind tatsächlich parallel (Café-Wand-Illusion, entdeckt 1898 durch A. H. Pierce, USA).

cafe wall illusion-2 

Wenn man die schwarzen Quadrate hellgrau färbt, sieht man die grauen Linien als Parallelen.

 

         Quadrat-Illusion-2                            Quadrat-Illusion-1 

Die linken Linien des Schachbrettmusers sind parallel, wie das rechte Bild zeigt. Die kleinen Quadrate bewirken die optische Täuschung. Diese und die untere optische Täuschung (ohne Animation) hat der japanische Psychologieprofessor Akiyoshi Kitaoka auf Akiyoshi's illusion pages dargestellt.

primrose-anigif          r_primrose-anigif

Durch die dunklen und hellen kleinen Kreuze scheinen sich im Quadratmuster Wellen zu bilden; dies ist bei einfarbigen Kreuzen nicht der Fall.

 

  
Quadratkombinationen

  quadrate-400

   

Quadrate, von der Ordnung zur Unordnung                      Mosaik-Quadrate

       Quadratische Unordnung                       Mosaik-Quadrate

  

Die Bilder wurden mit geogebra dargestellt oder mit Python programmiert.


Zurück
Zurück zur Startseite